2022年度重庆中法供水公司不锈钢管及管件采购招标公告
第一章 招标公告
2022年度重庆中法供水有限公司不锈钢管及管件采购项目招标公告
1、招标条件
本招标项目2022年度重庆中法供水有限公司不锈钢管及管件采购 ,项目业主为重庆中法供水有限公司。建设资金企业自筹,出资比例为100%。项目已具备招标条件。现对本项目不锈钢管及管件进行公开招标诚邀各潜在投标人参与。
2、项目概况与招标范围
2.1招标范围:该招标项目由两家中标单位共同承担区域内的材料供应,招标人按订单进行分派,以招标人工程编号为准。
2.2本项目投标按限价(综合单价清单)填写取费比例,取排名前五名为中标候选人(不足五名以实际为准),取前两名中标候选人发放中标通知书,共同承接我司2022年不锈钢管及管件采购项目供应;为保证结算单价的统一,两名中标候选人均按第一中标候选人的取费比例与我司签订供货合同,原则上平均分配送货金额,各承担50%履约保证金。若第二中标候选人不同意采用第一中标候选人的取费比例,视为放弃本次中标资格,且其余中标候选人不替补,由第一中标候选人承担本次招标金额的50%。若中标候选人仅为一家,或有两家但第二中标候选人放弃中标资格,我司将对余下50%再次组织招标,以保障物资及时供应。
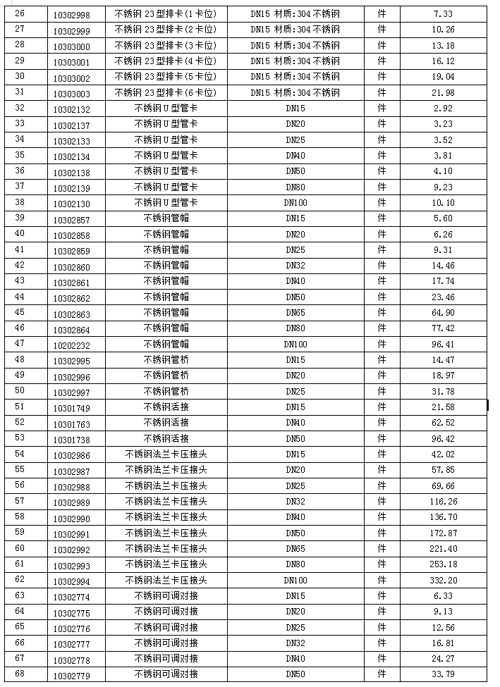
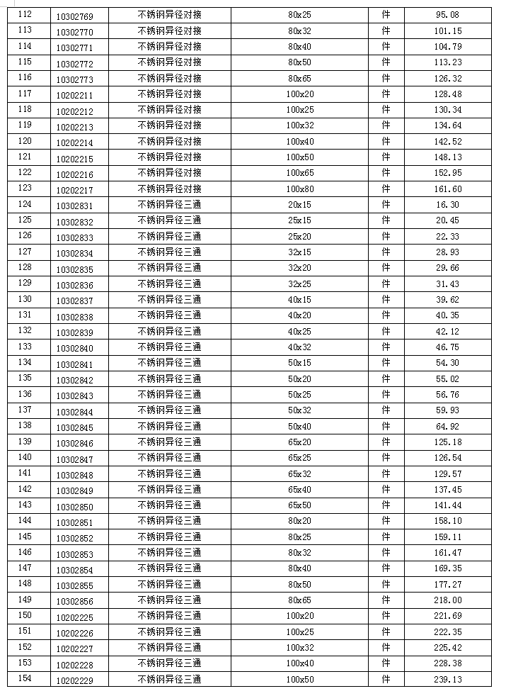
2.3不锈钢管及管件采购清单
上一篇:成都市公共卫生临床医疗中心不锈钢水管、阀门采购招标公告
下一篇:返回列表







